2007/05/07 from samplepoint-F of the MAWI archive (see the information of this traffic trace)

filter : all - http - smtp - pop3 - ssh - SMB - ftp - RPC - other - dns - NetBIOS

Dest. IP vs. Time:
Dest. IP vs. Time
Dest. Port vs. Time:
Dest. Port vs. Time
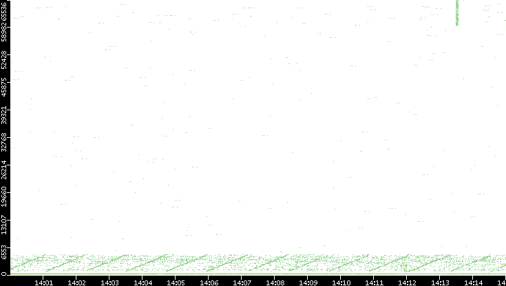
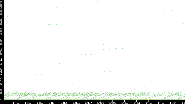
Src. IP vs. Time:
Src. IP vs. Time
Src. Port vs. Time:
Src. Port vs. Time
Nb. of Packets vs. Time:
Nb. of Packets vs. Time
Throughput vs. Time:
Throughput vs. Time
Average Packet Size vs. Time:
Average Packet Size vs. Time
Entropy of Port vs. Time:
Entropy of Port vs. Time

filter : all - http - smtp - pop3 - ssh - SMB - ftp - RPC - other - dns - NetBIOS