2002
/
12
/17
from samplepoint-B of the
MAWI archive
(
see the information of this traffic trace
)
filter :
all
-
http
-
smtp
-
pop3
-
ssh
-
SMB
-
ftp
-
RPC
-
other
-
dns
-
NetBIOS
Dest. IP vs. Time:
Dest. Port vs. Time:
Src. IP vs. Time:
Src. Port vs. Time:
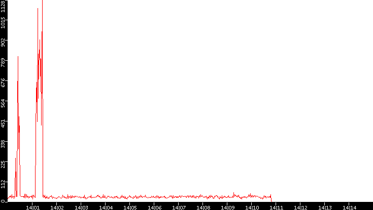
Nb. of Packets vs. Time:
Throughput vs. Time:
Average Packet Size vs. Time:
Entropy of Port vs. Time:
filter :
all
-
http
-
smtp
-
pop3
-
ssh
-
SMB
-
ftp
-
RPC
-
other
-
dns
-
NetBIOS